Beskrivelse
Produktbeskrivelse
Salt Active UltraNuclease er en uspecifik endonuklease og har optimal aktivitet ved høj saltkoncentration. Salt kan spille en vigtig rolle i at minimere aggregering af protein eller virus, hvilket ville være nyttigt for dissociation af DNA og RNA fra proteiner eller andre cellulære komponenter. Under høje saltforhold er det mere sandsynligt, at enzymer får adgang til det frigivne DNA og RNA og nedbryder dem. Nuklease, der har høj aktivitet ved højt salt ville være mere effektiv at forbedre oprensning processer. De Salt Active UltraNuclease kan bruges til at reducere viskositeten af cellesupernatant og cellelysat, øge oprensningseffektiviteten i høj salttilstand.
De enzym kan også reducere værtsnukleinsyrerester til pg-grad, hvilket forbedrer ydeevnen og sikkerheden af biologiske produkter af applikationer, herunder virusoprensning, vaccinefremstilling og protein/polysaccharid farmaceutisk fremstilling.
Dette produkt er produceret efter GMP-proceskrav og leveres i flydende form med følgende egenskaber.
- Høj renhed (≥ 98%)
- Dyrefri produktion
- Lavt endotoksin
- Høj aktivitet ved høje saltforhold
- Understøttet af ELISA Kit
Komponenter
| Kat. Ingen. | Navn | 20159ES25 (25 KU) | 20159ES60 (100 KU) | 20159ES80 (1 MU) | 20159ES90 (5 MU) |
| 20159 | Salt Active UltraNuclease GMP-grade (250 U/μL) | 100 μL | 400 μL | 4 ml | 20 ml |
Specifikation
| Udtryksvært | Rekombinant, udtrykt i Escherichia coli |
| Molekylvægt | 24,7 kDa |
| Isoelektrisk punkt | 9,61 |
| Renhed | ≥ 99 % |
| Opbevaringsbuffer | 25 mM Tris-HCl, 5 mM MgCl2,500 mM NaCl,50 % glycerol |
| Enhedsdefinition | Definitionen af én aktivitetsenhed (U) er mængden af enzym, der forårsager en △A260=1,0 i 30 minutter ved 37 ℃ i overskud af substrat under visse forhold. |
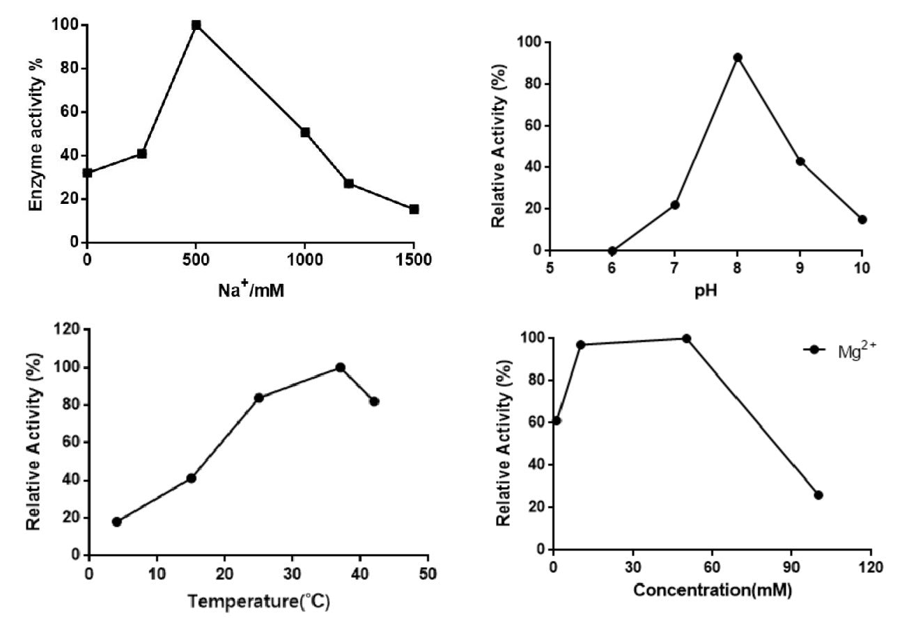
Anbefalede driftsforhold
| Tilstand | Optimal | Effektiv |
| Mg2+/Mn2+ | 10~50mM | 1~100mM |
| pH | 8 | 6.5 ~10 |
| Temperatur | 37℃ | 4~42℃ |
| Na+/K+ | 500 mm | 300~1200mM |
Anbefales Brug
| Tilstand | Foreslået brug |
| Protein | 100 U/ml |
| Cellelysat | 500 U/ml |
| Celleekstrakt | 1000 U/ml |
| Viskositetsreduktion | 50 U/ml |
AAV produktionskasse
| Leverandør | Tilstand (100 U/ml, 37 ℃, 1 time) | HCD rester(ng/ml) |
| M* | 400 mm NaCl | 1,42 |
| M* | 400 mm NaCl, 1 % Tween | 0,68 |
| Yeasen 20159ES | 400 mm NaCl | 0,87 |
| Yeasen 20159ES | 400 mm NaCl, 1 % Tween | 0,07 |
Forsendelse og opbevaring
Produktet skal opbevares ved -25 ~ -15 ℃ i to år. Hvis produktet er åbnet og har været opbevaret ved 4℃ i mere end en uge, anbefaler vi at filtrere produktet for at forhindre mikrobiel kontaminering.
Dokumenter:
Betaling og sikkerhed
Dine betalingsoplysninger behandles sikkert. Vi gemmer ikke kreditkortoplysninger og har heller ikke adgang til dine kreditkortoplysninger.
Forespørgsel
Du kan også lide
FAQ
Produktet er kun til forskningsformål og er ikke beregnet til terapeutisk eller diagnostisk brug hos mennesker eller dyr. Produkter og indhold er beskyttet af patenter, varemærker og ophavsrettigheder ejet af Yeasen Biotechnology. Varemærkesymboler angiver oprindelseslandet, ikke nødvendigvis registrering i alle regioner.
Visse applikationer kan kræve yderligere tredjeparts intellektuelle ejendomsrettigheder.
Yeasen er dedikeret til etisk videnskab og mener, at vores forskning bør adressere kritiske spørgsmål og samtidig sikre sikkerhed og etiske standarder.






